储罐内盘管加热计算首图
工程中心

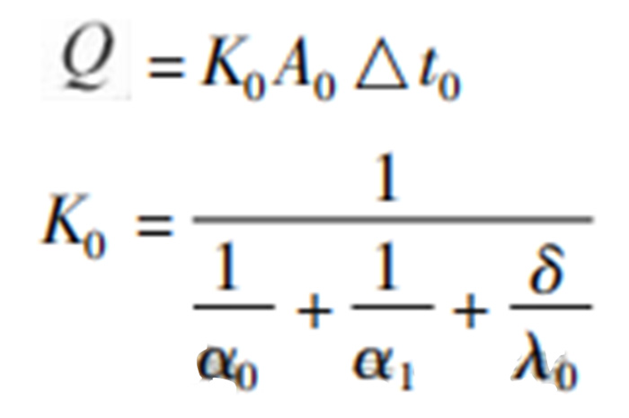
储罐内盘管加热计算